ما هو اضمحلال بيتا

تم التدقيق بواسطة: فريق أراجيك
يتكون كل عنصرٍ كيميائيٍّ من مجموعةٍ من النظائر تمتلك نواتها نفس عدد البروتونات بينما تختلف بعدد النترونات، حيث تكون نظائر الكتلة المتوسطة ضمن كل مجموعةٍ مستقرةٍ أو أكثر استقرارًا من البقية، بينما تتجه بقية النظائر الأخف والأثقل إلى الاستقرار من خلال واحدةٍ من عمليات التفكك الإشعاعي تدعى اضمحلال بيتا محررة الطاقة الزائدة فيتغير العنصر إلى عنصرٍ آخر.
ظاهرة اضمحلال بيتا
هي عملية انحلالٍ إشعاعيٍّ تعتمد عليها النواة الذرية غير المستقرة في تلاشي الطاقة الفائضة بشكلٍ تلقائيٍّ وتغيير وحدة موجبة الشحنة مع الحفاظ على عدد الكتلة ذاته فتصبح بذلك نواة ذرية مستقرة، أي بشكلٍ أوضح هي العملية التي يتغير فيها نيترونٌ واحدٌ إلى بروتون أو بالعكس بروتون أو بالعكس بروتون واحد إلى نترون عندما تمتلك النواة الكثير من البروتونات أو الكثير من النيترونات.
يتجلى التغيير في طاقة الارتباط من خلال طاقة الكتلة والطاقة الحركية لجزيئات بيتا وطاقة النيترون والطاقة الحركية للنواة الجديدة، وقد تتراوح طاقة جسيم بيتا المنبعث نتيجةً للاضمحلال ضمن مجالٍ محددٍ كونها قابلةً للمشاركة بين الجسيمات الثلاثة وبطرقٍ متعددةٍ مع الحفاظ على استمرارية الطاقة والزخم.[footnote]،Beta decay، من موقع: www.britannica.com، اطّلع عليه بتاريخ 6-11-2019[/footnote]
معادلة اضمِحلال بيتا العامة
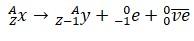
كما ذكرنا سابقًا تحدث ظاهرة اضمحلال بيتا عندما يتحول نيترونٌ واحدٌ موجودٌ في نواة أحد النظائر المشعة لعنصرٍ كيميائيٍّ ما إلى بروتونٍ من خلال انبعاث إلكترونٍ من النواة يطلق عليه جسيم بيتا يرافقه إلكترون نيوترينو عديم الشحنة، ويمكن تمثيل إضمحلال بيتا بمعادلةٍ عامةٍ تُطبَّق على أي عنصرٍ:

حيث يرمز للعدد الذري بالرمز Z الذي يزداد واحدًا، وعدد
الكتلة بالرمز A
الذي يبقى عديم الشحنة، بينما X هو العنصر الأولي وY العنصر النهائي الذي يبقى عديم الشحنة
فمثلًا عند تطبيق المعادلة على اضمحلال بيتا لعنصر الكربون 140 تصبح على الشكل التالي:[footnote]،What is the beta decay equations?، من موقع: socratic.org، اطّلع عليه بتاريخ 6-11-2019[/footnote]

أنماط اضمحلال بيتا
قد تحدث ظاهرة اضمحلال بيتا وفق ثلاث طرقٍ مختلفةٍ يبقى خلالها عدد النوى ذاته بينما يزداد عدد كلًا من البروتون والنترون أو ينقص واحدًا
اضمحلال بيتا السالب
يتحول نترونٌ واحدٌ موجودٌ في نواة الذرة إلى بروتونٍ وإلكترونٍ ومضاد النترون حيث ينبعث الأخيران خارج النواة التي يزداد عدد بروتوناتها واحدًا فيتغير العنصر إلى آخر مختلف، وكمثال على ذلك سنأخذ اضمحلال ذرة الثوريوم 234 متجولة إلى عنصر البروتكتينيوم 234 حيث نجد ازدياد عدد البروتونات بروتونًا واحدًا مع بقاء ذات الشحنة الكلية دون تغيير نتيجةً لظهور إلكترون آخر سالب الشحنة وذلك وفق المعادلة:[footnote]،Beta Decay، من موقع: education.jlab.org، اطّلع عليه بتاريخ 6-11-2019[/footnote]

اضمحلال بيتا الموجب
ويدعى انبعاث حيث يتفكك بروتون في نواة الذرة إلى نيترون وبوزيترون ومضاد النترون ثم ينبعث كلًا من البوزيترون ومضاد النترون خارج النواة التي تخسر بروتونًا واحدًا فتتحول الذرة من عنصر إلى عنصرٍ آخر، وكمثالٍ على هذا النوع من إضمحلال بيتا نأخذ التحول الذي يحدث لذرة عنصر الكربون التي تمتلك ستة بروتونات لتصبح ذرة عنصر البوردون ذو البروتونات الخمسة.
التقاط الإلكترون
ويدعى أيضًا التقاط K وهو أحد أنماط اضمحلال بيتا اكتشفه العالم الفيزيائي الأمريكي لويس ألفاريز عام 1937 وذلك بعد حوالي أربعين عامًا على اكتشاف إشعاع بيتا السالب وبعد سنواتٍ قليلةٍ من التعرف على طريقة اضمحلال بيتا.
تتحول البروتونات من خلال التقاط الإلكترون إلى نترونات وذلك عندما تخرج إحدى الإلكترونات الموجودة في الغلاف K القريب من النواة التي تلتقطه نظرًا لامتلاكها عددًا إضافيًا من البروتونات فيقل عدد البروتونات بروتونًا واحدًا متحولًا إلى نترون ويتحول العنصر بدوره إلى عنصرٍ آخر مع انخفاض العدد الذري عددًا واحدًا وبقاء عدد الكتلة ذاته. وكمثالٍ على ذلك يمكن تتبع النقاط K في نواة عنصر بريليوم 7 التي تلتقط إلكترونًا واحدًا من إلكتروناتها الداخلية لتتحول إلى الليثيوم 7.[footnote]،Electron Capture، من موقع: www.radioactivity.eu.com، اطّلع عليه بتاريخ 6-11-2019[/footnote]
اضمحلال بيتا المضاعف
كما ذكرنا سابقًا أن النواة تبعث إلكترونًا ونترونًا خلال اضمحلال بيتا ثم تتحول نتيجةً لفقدانها نيترون واكتسابها إلكترونًا ذو شحنةٍ موجبةٍ، بينما يختلف الأمر خلال إضمحلال بيتا المضاعف كونه يحدث ضمن ذرات النظائر المشعة الموجودة في الطبيعة، ويكمن وجه الاختلاف في انبعاث نيترونين وإلكترونين اثنين من النظير، فعلى سبيل المثال تتحول نواة نظير الزينون الموجودة في الطبيعة ورمزه Xe 136 لتصبح Ba 136 حيث تحصل على شحنتين موجبتين وينطلق منها إلكترونين ونيترون يتشاركان طاقة الاضمحلال بالرغم من صعوبة تحديد النيترون في حين يُعتبر الإلكترونين دليلًا وحيدًا على حدوث الاضمحلال.[footnote]،Neutrinoless Double Beta Decay، من موقع: www.anl.gov، اطّلع عليه بتاريخ 6-11-2019[/footnote]
LEAP26